Linearwellen: Präzisionsstandards von MISUMI Linearwellen
Linearwellen zählen zu den linearen Führungen und sorgen in Linearbewegungssystemen für Stabilität und Präzision. Damit diese Bewegungen reibungsarm, präzise und zuverlässig verlaufen, werden an Linearwellen unterschiedliche Präzisionsanforderungen gestellt. Diese richten sich sowohl an die Rundheit, Geradheit und Rechtwinkligkeit als auch an die Konzentrizität der Linearwelle. Bei MISUMI gibt es Linearwellen in Standard- und Präzisionsausführung. In diesem Artikel erfahren Sie mehr über die verschiedenen Eigenschaften, sowie wann welche Variante verwendet werden sollte, und was es mit den Präzisionsanforderungen auf sich hat.
Wichtige Präzisionsparameter bei Linearwellen
Typische Präzisionsparameter von Linearwellen sind Geradheit, Rundheit, Rechtwinkligkeit und Konzentrizität. Sie beeinflussen die Genauigkeit, Stabilität und Langlebigkeit der eingesetzten Linearwellen und des gesamten Systems, in dem die Linearwellen verbaut sind. Schon kleinste Abweichungen können zu erhöhtem Verschleiß, Vibrationen oder Positionierungsfehlern führen. In diesem Zusammenhang sind Maßtoleranzen und Passungsauswahl wichtige Aspekte bei der Herstellung und Anwendung von Linearwellen. Die Formtoleranz beschreibt die zulässige Abweichung der geometrischen Wellenform vom idealen Nennmaß, die Lagetoleranz beschreibt die zulässige Abweichung von der idealen Position oder Ausrichtung einer Welle.
- (D) Durchmesser
- (K) Geradheit
- (M) Rundheit
- (L) Nutzlänge
- (Y) Resultierende Gesamtlänge
- (F) Absatz links
- (P) Gewinde- bzw. Absatzdurchmesser links
- (S) Gewindelänge Absatz rechts
- (T) Absatz rechts
- (B) Gewindelänge Absatz links
- (Q) Gewinde- bzw. Absatzdurchmesser rechts
Auch für die Auswahl der Beschaffungsmärkte ist die Einhaltung von Präzisionsstandards ein entscheidendes Kriterium. Durch eine Produktionsstätte in Portugal ist MISUMI in der Lage, Präzisionsteile innerhalb der EU zu fertigen. Bei MISUMI profitieren wir davon durch hohe Liefertreue, vergleichsweise kurze Lieferwege und europäisch genormte Werkstoffe.
Im nachfolgenden Abschnitt gehen wir auf einige wichtige Parameter im Detail ein:
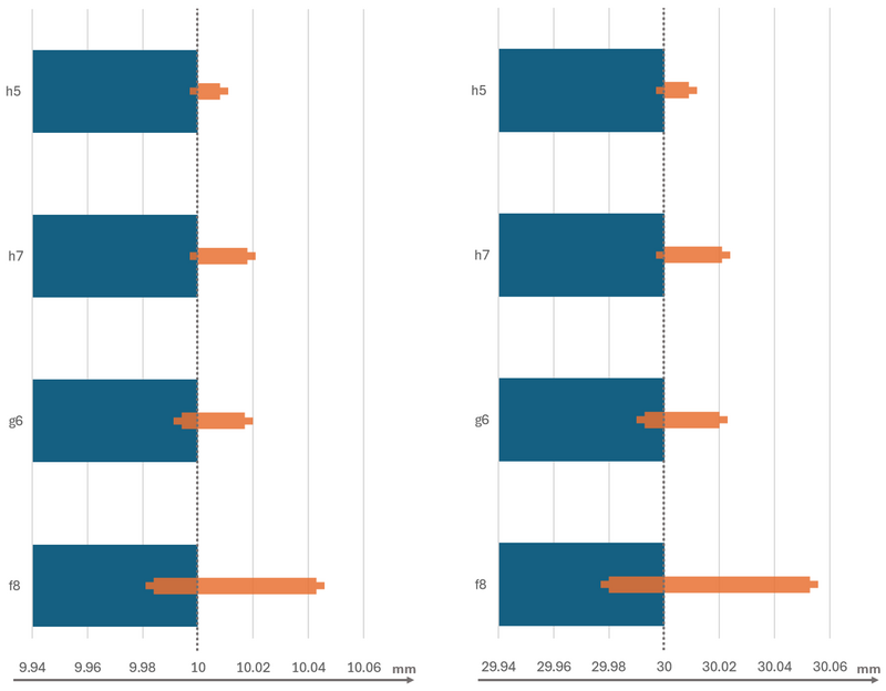
Rundheit von Linearwellen
Die Rundheit beschreibt, wie präzise der Querschnitt der Welle einem mathematisch perfekten Kreis entspricht. Eine hohe Rundheit sorgt für eine gleichmäßige Lagerbelastung und hohe Leistung. Bereits Abweichungen von wenigen Millimetern können zu einer Vorspannung führen, aufgrund welcher die Linearwelle und das Lager sich schneller abnutzt. Hochpräzise Anwendungen erfordern daher die Einhaltung enger Toleranzen bei der Rundheit.
Rundlauf und Rundheit sind übrigens nicht dasselbe. Rundlauf beschreibt, wie die Welle um die Rotationsachse rotiert, gemessen an einem festen Punkt der Welle. Auch hierfür gibt es sog. Rundlauftoleranzen, welche die Abweichung von der idealen Achse beschreiben.
- (1) Welle
- (2) Idealer, runder Wellendurchmesser
- (3) Abweichung vom realen Durchmesser
Die nachfolgende Tabelle zeigt die Rundheit M in Abhängigkeit von D und ISO-Toleranz:
| ISO Toleranz | ||
|---|---|---|
| Beispiel-Durchmesser D | g6, h6 - Welle gehärtet | f8 - Welle nicht gehärtet |
| Rundheit M | Rundheit M | |
| 10 | 0.004 | 0.011 |
| 16 | 0.005 | 0.014 |
| 30 | 0.006 | 0.017 |
| 50 | 0.007 | 0.02 |
Abweichungen beim Außendurchmesser
Ein präziser Außendurchmesser innerhalb enger Toleranzfeldgrenzen wird vor allem dann relevant, wenn hohe Führungsgenauigkeit und Laufruhe erforderlich sind. Auch bildet er die Grundlage wenn eine exakte Ausrichtung ohne Spiel notwendig ist bzw. spezifische Passungsarten, wie die Übermaßpassung, gefordert sind.
Während die zulässige Abweichung der Präzisionsausführung 0,02mm beträgt, wird bei der Standardausführung eine Abweichung von 0,1mm toleriert.
Geradheit von Linearwellen
Die Geradheit beschreibt die Genauigkeit der Ausrichtung einer Welle entlang ihrer gesamten Länge. Dabei sollte sie nicht von einer idealen Linie abweichen. Je präziser die Geradheit, desto präziser und gleichmäßiger sind auch die Bewegungen der geführten Bauteile. Mit einem 3D-Koordinatenmessgerät und Taststift kann man die Geradheit messen.
Die nachfolgende Tabelle zeigt die MISUMI-Präzisionsstandards für die Geradheit von Linearwellen in Abhängigkeit von D und L:
| g6, h6 - Welle gehärtet |
f8 - Welle nicht gehärtet |
|||
|---|---|---|---|---|
| L | D | Geradheit K | L | Geradheit K |
| * | 3 und 4 | ≤ (L/100)x0.05 | ≤ 100 | ≤ 0.025 |
| * | 5 | ≤ (L/100)x0.03 | ||
| ≤ 100 | 6 bis 50 | ≤ 0.01 | > 100 | ≤ (L/100)x0.025 |
| > 100 | ≤ (L/100)x0.01 | |||
Konzentrizität von Linearwellen
Unter Konzentrizität einer Welle versteht man, wie genau die Rotationsachsen von z.B. einem Wellenaußendurchmesser und einem stirnseitig abgesetzten Zapfen zueinander fluchten. Je höher die Konzentrizität, desto gleichmäßiger ist das Rotationsverhalten. Rundlauf und Konzentrizität stehen also im direkten Zusammenhang. Für nicht rotierende Linearwellen ist die Konzentrizität vor allem für die Genauigkeit der Ausrichtung relevant.
Rechtwinkligkeit von Linearwellen
Die Rechtwinkligkeit stellt sicher, dass die Linearwelle sich in einem genauen 90° Winkel zu anderen Systemkomponenten befindet. Bei fehlender Rechtwinkligkeit kann es zu Spannungen und seitlichen Scherkräften kommen. Diese beeinträchtigen Führung, Reibung und Bewegung.
Abweichungen bei der Länge
Nachfolgende Tabelle zeigt die tolerierte Abweichung des Maßes L bzw. Y in Abhängigkeit der Bauteillänge.
| Maß L / (Y) | g6, h6 - Welle gehärtet | f8 - Welle nicht gehärtet | |
|---|---|---|---|
| Über | oder weniger | Toleranz | |
| > 3 | ≤ 6 | ±0.1 | |
| > 6 | ≤ 30 | ±0.2 | |
| > 30 | ≤ 120 | ±0.3 | |
| > 120 | ≤ 400 | ±0.5 | |
| > 400 | ≤ 1000 | ±0.8 | |
| > 1000 | ≤ 1500 | ±1.2 | |
Abweichungen bei der Wandstärke
Die Wandstärke bei Hohlwellen beeinflusst die Stabilität und Biegefestigkeit der Linearwelle insgesamt. Hier steht Material- bzw. Gewichtsersparnis im Vordergrund. Gleichzeitig hat die Wandstärke durch Verschiebung des Flächenschwerpunkts Einfluss auf die Verformung der Welle. Je nach Ausrichtung der radial auf sie einwirkende Kraft wird sie unterschiedlich stark verformt (siehe auch Konzentrizität). Bei Innengewindeverschraubung beeinflusst die Wandstärke außerdem die Ausrichtungsgenauigkeit.
Die folgende Tabelle gibt einen Überblick über zulässige Hohlwellen-Wandstärkenabweichungen für Wellen aus EN 1.3505 und EN 1.4125 äquivalentem Material.
| D | EN 1.3505 Äquiv. Wandstärken-Abweichungswert |
EN 1.4125 Äquiv. Wandstärken-Abweichungswert |
|||||||||||||||||||||||||||||||||||||||||||||||||||||||||||||||||||||||||||||||||||||||||||||||||
|---|---|---|---|---|---|---|---|---|---|---|---|---|---|---|---|---|---|---|---|---|---|---|---|---|---|---|---|---|---|---|---|---|---|---|---|---|---|---|---|---|---|---|---|---|---|---|---|---|---|---|---|---|---|---|---|---|---|---|---|---|---|---|---|---|---|---|---|---|---|---|---|---|---|---|---|---|---|---|---|---|---|---|---|---|---|---|---|---|---|---|---|---|---|---|---|---|---|---|---|
| 6 | ≤ 0.3 | - | |||||||||||||||||||||||||||||||||||||||||||||||||||||||||||||||||||||||||||||||||||||||||||||||||
| 8 | ≤ 0.4 | ≤ 1.5 | |||||||||||||||||||||||||||||||||||||||||||||||||||||||||||||||||||||||||||||||||||||||||||||||||
| 10 | ≤ 4.0 | ||||||||||||||||||||||||||||||||||||||||||||||||||||||||||||||||||||||||||||||||||||||||||||||||||
| 12 | |||||||||||||||||||||||||||||||||||||||||||||||||||||||||||||||||||||||||||||||||||||||||||||||||||
| 13 | |||||||||||||||||||||||||||||||||||||||||||||||||||||||||||||||||||||||||||||||||||||||||||||||||||
| 16 | |||||||||||||||||||||||||||||||||||||||||||||||||||||||||||||||||||||||||||||||||||||||||||||||||||
| 20 | |||||||||||||||||||||||||||||||||||||||||||||||||||||||||||||||||||||||||||||||||||||||||||||||||||
| 25 | ≤ 0.6 | ||||||||||||||||||||||||||||||||||||||||||||||||||||||||||||||||||||||||||||||||||||||||||||||||||
| 30 | ≤ 1.0 | ||||||||||||||||||||||||||||||||||||||||||||||||||||||||||||||||||||||||||||||||||||||||||||||||||
| 35 | - | ||||||||||||||||||||||||||||||||||||||||||||||||||||||||||||||||||||||||||||||||||||||||||||||||||
| 40 | ≤ 1.5 | ||||||||||||||||||||||||||||||||||||||||||||||||||||||||||||||||||||||||||||||||||||||||||||||||||
| 50 | |||||||||||||||||||||||||||||||||||||||||||||||||||||||||||||||||||||||||||||||||||||||||||||||||||
| |||||||||||||||||||||||||||||||||||||||||||||||||||||||||||||||||||||||||||||||||||||||||||||||||||
Die richtige Auswahl: Unterschiede bei Standardausführung und Präzisionsausführungen
MISUMI fertigt Linearwellen in Standardausführung und Präzisionsausführung. Beide Varianten unterscheiden sich dabei z.B. in Rundheit und Geradheit, Wellentoleranzklassen, Oberflächenqualität, Material, Härte des Materials und ihrem Einsatzbereich.
Weiterführende Informationen zum Thema finden Sie in unseren Blogs: "Härtegrade und Härteprüfung im Vergleich" (relevant für die Materialauswahl) und "So wählen Sie die richtige Bauteiloberfläche aus – Basiswissen rund um die Oberflächenrauheit" (relevant für die Präzision und Langlebigkeit von Linearwellen).
Nachfolgend werden einige der für die Fertigung von Wellen verwendeten Werkstoffe vorgestellt:
Material: Präzisionswerkstoff CF53 (DIN/EN)
Der Werkstoff CF53, bzw. Europäische Werkstoffnummer 1.1213, ist ein unlegierter Vergütungsstahl. Seine chemische Zusammensetzung besteht aus Kohlenstoff, Silizium, Mangan, Phosphor und Schwefel. CF53 eignet sich für Induktions- und Flammhärten und kann daher in Anwendungen mit hohen mechanischen Belastungen eingesetzt werden. Üblicherweise wird er in der Automobilbranche verwendet, z.B. bei Achsteilen oder Führungssäulen. Durch seinen mittleren Kohlenstoffgehalt von ca. 0.5 % lässt sich CF53 präzise durch Drehen, Fräsen und Schleifen bearbeiten. Dank des Induktivhärtens kann eine hohe Maßstabilität erzielt werden. Er eignet sich daher sehr gut zur Herstellung von Präzisionswellen.
Material: Präzisionswerkstoff C45 (JIS)
Der Werkstoff C45 (JIS) entspricht der Europäischen Werkstoffnummer 1.0503 mit DIN/EN Kurznamen S45C. Er ist ein unlegierter Vergütungs- bzw. Baustahl mit sehr gleichmäßigem Materialgefüge und hohem Kohlenstoffgehalt. Er weist eine hohe Festigkeit, Zähigkeit und Verschleißfestigkeit auf, was ihn zu einem beliebten Stahl im Maschinenbau macht. C45 ist nur begrenzt härtbar. Eine komplette Durchärtung ist nicht möglich, jedoch können hohe Randhärten erreicht werden.
Material: Präzisionswerkstoff SUJ2 (JIS)
Der Werkstoff SUJ2 (JIS) entspricht der europäischen Werkstoffnummer 1.3505 mit DIN/EN- Kurznamen 100 Cr6 und ist ein Wälzlagerstahl. Neben der Anwendung zur Herstellung von Wälzlagern wird er im Maschinenbau auch für verschleißbeanspruchte Bauteile verwendet.
Material: Präzisionswerkstoff SUS304 (JIS)
Der Werkstoff SUS304 (JIS) entspricht der Europäischen Werkstoffnummer 1.4301 mit DIN/EN Kurznamen X5CrNi18-10. Er ist ein austenitischer Edelstahl mit 18% Chrom- und 8% Nickelanteil. SUS304 ist einer der verbreitetesten Varianten der Edelsähle. Seine mechanischen Eigenschaften und gute Wärmebeständigkeit machen ihn zur bevorzugten Wahl für Anwendungen, die sowohl Festigkeit als auch Korrosionsbeständigkeit erfordern. SUS 304 ist zwar bekannt für seine ausgezeichnete Korrosionsbeständigkeit, kann aber unter Umständen z.B. in warmen Chloridumgebungen dennoch korrodieren.
Material: Präzisionswerkstoff SUS440C (JIS)
Der Werkstoff SUS440C (JIS) entspricht der Europäischen Werkstoffnummer 1.4125 mit DIN/EN Kurznamen X105CrMo17. Er ist ein martensitischer Edelstahl mit hohem Kohlenstoffgehalt. SUS440C erreicht nach der Wärmebehandlung eine sehr hohe Festigkeit, Härte und hervorragende Verschleißfestigkeit. Er zeichnet sich neben seinen mechanischen Eigenschaften durch eine gute Korrosionsbeständigkeit in mild feuchten, sauren oder alkalischen industriellen Umgebungen aus.
Verschiedene ISO-Toleranzen
Für die Präzision von Linearwellen gibt es verschiedene ISO-Toleranzklassen, die die Maßgenauigkeit und Fertigungstoleranzen definieren. Sie definieren die zulässigen Abweichungen vom Nennmaß für den Wellendurchmesser und beeinflussen die Passgenauigkeit mit Lagern (z.B. Gleitlagerbuchsen) und Führungen. Die Wellentoleranz gibt an, wie genau der Wellendurchmesser mit dem Nenn- bzw. Idealmaß übereinstimmt. Für Präzisionsausführungen gelten oft engere Toleranzen, während Standardausführungen in Anwendungen eingesetzt werden, die weitere Toleranzen zulassen.
Was bedeuten die ISO-Toleranzklassen für Wellen im Detail?
Man unterscheidet in feine und grobe Toleranzen. Feine Toleranz bedeutet, dass die Welle in sehr engen Maßtoleranzen gefertigt wird und nur wenig Abweichungsspielraum vorhanden ist. Wellen mit feiner Toleranz haben eine hohe Präzision, z.B. Toleranzklasse h5. Grobe Toleranzen erlauben stärkere Abweichungen von der Nenngröße. Wellen dieser Art, z.B. mit der Toleranz f8, haben eine geringere Präzision, sind aber in der Regel günstiger. Eine häufig verwendete Toleranzklasse ist das Toleranzfeld h7, das eine enge Maßabweichung für Passungen definiert.
Die Toleranzen der Welle stehen immer auch im Zusammenspiel mit den Toleranzen des Lagers oder der Führung, z.B. der Durchmessertoleranz von Gleitlagerbuchsen. Aus der Kombination der verschiedenen Toleranzfelder ergeben sich unterschiedliche Passungen (z.B. Spielpassung, Presspassung oder Übergangspassung). Die Kombination F8/h7 beschreibt z.B. eine enge Passung für präzise Maschinen mit genauer Positionieranforderung. Wobei der große Buchstabe das Toleranzfeld der Bohrung und der kleine Buchstabe das Toleranzfeld der Welle definiert.
Weitere Informationen zu Form-und Lagetoleranzen finden Sie in unserem Artikel Form und Lagetoleranzen nach ISO 1101 und japanische Norm JIS B 0001.
Verschiedene Ausführungen nach Lagerart
Gleitlager und Wälzlager haben unterschiedliche Anforderungen an die Präzision von Wellen. Im Gleitlager bewegen sich zwei Oberflächen entgegengesetzt zueinander; es kommt zu einer gleitenden Bewegung. Gleitlager besitzen eine große Kontaktfläche und können durch die damit verbundene geringere Flächenpressung teils auch Wellen aus ungehärtetem Material aufnehmen. Die Positionierung des Gleitlagers auf der Welle ist im Vergleich zu Wälzlagern jedoch oft ungenauer. Gleitlager lassen sich einfach herstellen und sind kostengünstig. Sie eignen sich in der Regel für Anwendungen, in denen die Genauigkeit der Ausrichtung der Welle eine untergeordnete Rolle spielt und Vibrationen oder Stoßbelastung auftreten.
Sobald hohe Präzisionsanforderungen gestellt werden, sollte auf Wälzlager zurückgegriffen werden. Im Wälzlager wird der Reibungswiderstand durch rollende Körper zwischen Innen- und Außenring reduziert. Dank der entstehenden Rollreibung sind Wälzlager besonders leichtgängig. Für besonders hohe Präzisionsanforderungen kann bei der Herstellung Präzisionsstahl eingesetzt werden. Die Kugeln für den Wälzkörper erhalten so eine hohe Härte mit fest definiertem Punktkontakt und erreichen hohe dynamische Tragzahlen. Um Laufspuren und andere Beschädigungen der Wellenoberfläche zu vermeiden sollte das Material der Linearwelle immer eine höhere Härte als das Material der Wälzkörper aufweisen.